-
Our work on two-dimensional perovskites was just published online in CCS chemistry.
April 13, 2021
Title:Post-synthetic crystalline transformation in two-dimensional perovskites via organothiol-based chemistry
The first post-synthetic solution-based crystal transformation of two-dimensional metal halide perovskites (2D MHPs) through organothiol-based reactions is...Read More
-
Our work on aqueous metal quantum dot biosynthesis was just published online in International Journal of Biological Macromolecules.
January 20, 2020
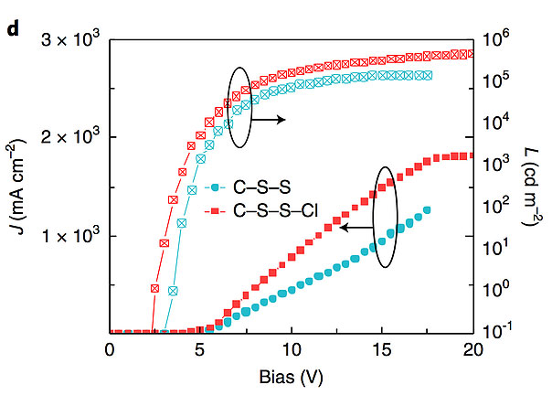
Title:Ligand passivation yields long-life perovskite light-emitting diodes
The development and utilization of inorganic material biosynthesis have evolved into single macromolecular systems. A putative cystathionine γ-lyase of bacteria Stenotrophomonas maltophilia (smCSE) is a newly identified biomolecule that...Read More
-
Our work on 2D Perovskite Formation was just published online in The Journal of Physical Chemistry C.
October 21, 2020
Title:Naphthalenediimide Cations Inhibit 2D Perovskite Formation and Facilitate Subpicosecond Electron Transfer
Layered metal halide perovskites, also called perovskite quantum wells (PQWs), are versatile optoelectronic materials possessing large oscillator strengths, band gaps tuned via the quantum size effect, and promising stability. The majority of...Read More
-
Our work on long-life perovskite light-emitting diodes was just published online in Science Bulletin.
July 2, 2020
Title:Ligand passivation yields long-life perovskite light-emitting diodes
Metal halide perovskites have recently ascended as leading solution-processed semiconductor materials for optoelectronic applications. Rapid advances in the understanding of materials properties and the development of device architectures led to highly luminescent perovskite light-emitting diodes (PeLEDs)Read More
-
Our work on reduced-dimensional perovskites was just published online in Angewandte.
June 11, 2020
Title:Thiophene Cation Intercalation to Improve Band-Edge Integrity in Reduced-Dimensional Perovskites
The insertion of large organic cations in metal halide perovskites with...Read More
-
Our work on low-dimensionality perovskites was just published online in Science Bulletin.
March 19, 2020
Title:Low-dimensionality perovskites yield high electroluminescence
Light-emitting diodes (LEDs) are changing the energy and light- ing industry due to their high power efficiencies, low energy consumption, and long operational lifetimes. While epitaxially- grown LEDs are the current industry standard, their...Read More
-
Our work on Nanostructured Perovskites was just published online in Langmuir. Congratulations Liang Zhao and colleagues!
March 6, 2020
Title:Cellulose Nanocrystal:Polymer Hybrid Optical Diffusers for Index-Matching-Free Light Management in Optoelectronic Devices
Colloidal perovskite nanocrystals (NCs) have shown promise in visible and near-infrared light emission compared with conventional quantum dots because of...Read More
-
Kevin will give an oral presentation at QD2018 Conference in Toronto, ON
May 14, 2018
QD2018 is the 10th biannual conference on quantum dots. It is held in Toronto this year, organized by Prof. Ted Sargent.
Conference schedule: June 25-29, 2018. For more information please click this link.
My talk title is "mixed-quantum-dot solar cells". More schedule information...Read More
-
Kevin to give a talk about perovskite new doping process at the 101st Canadian Chemistry Conference and Exhibition in Edmonton, AB.
May 7, 2018
It is time to visit the city of Edmonton and the Rocky Mountains again.
Title: A Fast B-Site Doping Process of Metal Halide Perovskites (Presentation No.: CSC18185) Presentation time and location: Wednesday, May 30, 2018...Read More
-
The UofT/Peking U/KU Leuven collaboration project on pre-seeded perovskite solar cell just got published in Nature Communications. Congrats Yicheng, Hairen, Haifeng, and colleagues!
April 25, 2018
Paper Title: Perovskite seeding growth of formamidinium-lead- iodide-based perovskites for efficient and stable solar cells.
Abstract: Formamidinium-lead-iodide (FAPbI3)-based perovskites with bandgap below 1.55 eV are of interest for photovoltaics in view of their close-to-ideal bandgap. Record-performance FAPbI3-based solar cells have relied on fabrication via the sequential-deposition method; however, these devices exhibit unstable output under...Read More
-
The contribution about the brightest ever quantum dot light-emitting diode just got published online in Nature Photonics. Congrats Xiyan, Yongbiao, and Fengjia!
February 27, 2018
Paper title: Bright colloidal quantum dot light-emitting diodes enabled by efficient chlorination
Abstract: The external quantum efficiencies of state-of-the-art colloidal quantum dot light- emitting diodes (QLEDs) are now approaching the limit set by the out-coupling efficiency. However, the brightness of these devices is constrained by the use of poorly...Read More
-
Our wide-band-gap perovskite solar cell paper just got published in Advanced Materials. Congratulations Junghwan and Makhsud!
February 16, 2018
Title: Amide-Catalyzed Phase-Selective Crystallization Reduces Defect Density in Wide-Bandgap Perovskites
Abstract: Wide-bandgap (WBG) formamidinium–cesium (FA-Cs) lead...Read More
-
Our work on mixed-quantum-dot solar cells just got published online in Nature Communications. Good job James and Andrew!
November 7, 2017
Please check the following website link for more
information://www.nature.com/articles/s41467-017-01362-1Read More
-
The work collaborating with the H. Dai and B. J. Hwang groups just got published in J. Mater. Chem. A. Congratulations!
September 13, 2017
Title:Identification of physical origins behind disorder, heterogeneity, and reconstruction and their correlation with photoluminescence lifetime in hybrid perovskite thin film
Abstract: Organolead halide perovskites are an impressive and relatively recent class of light- of the perovskites materials to light has negative impacts...Read More
-
Our Alberta/Toronto collaboration on cellulose nanocrystal optical diffusers was just published online in Advanced Optical Materials. Congratulations Seyed and colleagues!
August 26, 2017
Title:Cellulose Nanocrystal:Polymer Hybrid Optical Diffusers for Index-Matching-Free Light Management in Optoelectronic Devices
Abstract: A novel optical diffuser based on cellulose nanocrystals (CNCs) embedded in polydimethylsiloxane (PDMS) matrix, or cellulose nanocrystal:polymer (CNP) is reported. By offering simple low-cost fabrication process as well as compatibility with large-scale production, the proposed...Read More
-
Our work on surface-crosslinkable perovskite quantum dot LEDs was recently published in Advanced Materials.
July 11, 2017
Please click the following link for more information:
//onlinelibrary.wiley.com/doi/10.1002/adma.201701153/fullRead More
-
Kevin will give an invited talk at the 18th Canadian Semiconductor Science & Technology Conference (CSSTC).
June 4, 2017
The 18th Canadian Semiconductor Science and Technology Conference will be held on the University of Waterloo's main campus, August 20-24, 2017.
Presentation tile: Solution-processed materials and devices for photon/electron energy conversion.Read More
-
Kevin to give an oral presentation at the 100th Canadian Chemistry Conference and Exhibition
April 22, 2017
Time: 14:40 - 15:00, May 31, 2017 (Wednesday)
The presentation will summarize our recent development of colloidal quantum dot solar cells.Read More
-
Lina and Rafael's CsPbBr3-in-Cs4PbBr6 "perovskite-in-matrix" paper just got published online in Advanced Materials. Congratulations!
March 30, 2017
For more information, please click the following link: Highly Emissive Green Perovskite Nanocrystals in a SolidState Crystalline Matrix.
Read More
-
Our UofT/Toyota collaboration on quantum-dot-in-2D-perovskite LEDs was accepted for publication in ACS Photonics.
March 14, 2017
For more information please click the following link:
//pubs.acs.org/doi/abs/10.1021/acsphotonics.6b00865Read More
-
Kevin will give a talk at the 2017 E-MRS Spring meeting.
February 24, 2017
Please click the following link for more information: Link
Symposium N
Title: Colloidal Quantum Dots: Surface Chemistry and Optoelectronic Applications
Abstract: Colloidal inorganic semiconductor nanoparticles, or quantum dots...Read More
-
Lilei's reseach on carrier transport dynamics in quantum dot solar cells is published in Solar Energy Materials and Solar Cells. Congratulations!
February 22, 2017
For more information, please click this
Link: //www.sciencedirect.com/science/article/pii/S0927024817300867Read More
-
Our recent progress on low-temperature-processed, large area perovskite solar cell with certified PCE over 20% was just published in Science. Congratulations Hairen and colleagues!
February 3, 2017
Please check the following website link for more information:
//science.sciencemag.org/content/early/2017/02/01/science.aai9081Read More
-
Our Work on Amine-Free Synthesis of Perovskite Quantum Dots for Light-Emitting Applications Just Got Published in Advanced Functional Materials.
November 1, 2016
Please check the following webpage for more information:
//onlinelibrary.wiley.com/doi/10.1002/adfm.201604580/fullRead More
-
Our U of A/KTH Collaboration Work on Silicon Nanocrystal/Polymer Hybrids Just Got Published in ACS Photonics.
August 31, 2016
Please see the following link for more information:
//pubs.acs.org/doi/pdf/10.1021/acsphotonics.6b00485Read More
-
Our KAUST/UofT Light-Emitting Diode Work Just Got Published in Advanced Materials.
August 17, 2016
Please see the following link for more information:
//onlinelibrary.wiley.com/doi/full/10.1002/adma.201600784Read More
